Author: Denis Avetisyan
A new study examines the potential of social robots to support disabled students in higher education, revealing both promise and practical limitations.

Empirical research investigates the impact of robot embodiment, defined roles, and interaction quality on accessibility and user experience for students with disabilities.
Despite increasing institutional focus on inclusivity, students with disabilities in higher education continue to face significant barriers to accessing necessary support. This study, ‘Social Robotics for Disabled Students: An Empirical Investigation of Embodiment, Roles and Interaction’, empirically investigates the potential of social robots to mitigate these challenges, comparing the impact of physical versus disembodied robot embodiments and differing interaction roles on student perceptions. Findings reveal that while physical robots are perceived as more understanding and socially engaging, they do not necessarily outperform existing methods for information access and raise important considerations regarding privacy and social effort. How can we ethically and effectively integrate social robotics to truly enhance accessibility and support the diverse needs of students with disabilities?
Navigating Systemic Barriers: Understanding the Challenges Faced by Students with Disabilities
Higher education presents inherent obstacles for students with disabilities, frequently compounded by delays in receiving necessary support and accommodations. These barriers aren’t simply academic; they encompass logistical hurdles like navigating complex application processes for assistance, inconsistent implementation of accommodations across different courses, and a pervasive lack of awareness among faculty and staff regarding specific needs. Consequently, students may experience increased stress, reduced academic performance, and a sense of isolation, as they expend significant energy advocating for themselves rather than focusing on their studies. The cumulative effect of these challenges can unfortunately lead to higher dropout rates and diminished opportunities for success, highlighting a critical need for systemic improvements in accessibility and inclusive practices within institutions of higher learning.
Higher education presents distinct hurdles for students navigating neurodevelopmental conditions like Autism, Specific Learning Differences (SpLD) – including dyslexia and dysgraphia – and enduring long-term mental health conditions. These challenges aren’t uniform; autistic students may require support with sensory overload and social communication within a large university setting, while those with SpLD often benefit from alternative assessment methods and assistive technologies to demonstrate knowledge beyond traditional writing. Similarly, students managing conditions like depression or anxiety may need flexible deadlines, discreet check-ins, and access to mental health resources tailored to the demands of academic life. A standardized, ‘one-size-fits-all’ approach to support proves ineffective, emphasizing the critical need for individualized interventions that acknowledge the unique cognitive and emotional profiles of each student, fostering inclusivity and maximizing their potential for academic success.
The current landscape of support for disabled students is often characterized by fragmentation, demanding significant Social Energy expenditure simply to navigate the system itself. Instead of focusing resources on academic work, students may find themselves repeatedly explaining their needs to different departments, completing multiple forms for similar accommodations, and bridging communication gaps between services. This cognitive and emotional burden disproportionately impacts students with conditions like Autism or ADHD, hindering their ability to initiate and complete tasks. The resulting exhaustion not only delays Task Completion but also exacerbates existing challenges, creating a cycle of increased difficulty and reduced academic performance. A streamlined, integrated approach to support is therefore crucial, allowing students to conserve energy for learning and thrive in higher education.
Truly effective support for disabled students hinges on a shift from reactive assistance to proactive anticipation of their needs. Rather than waiting for students to self-identify challenges or request accommodations, institutions are increasingly recognizing the value of embedding accessibility from the outset. This includes universally designed learning materials, readily available and clearly presented information about support services, and streamlined processes for accessing assistance. Crucially, accessible Information Access extends beyond simply providing materials in alternative formats; it demands a commitment to clear communication, intuitive navigation of institutional systems, and a reduction in the cognitive load required to seek help. By anticipating potential barriers and proactively removing them, institutions can foster a more inclusive environment where disabled students are empowered to thrive academically and personally, conserving valuable cognitive resources for learning rather than navigating complex support systems.

Agent-Led Support: Defining Roles and Mechanisms for Enhanced Accessibility
Current research explores the application of both Social Robots and Disembodied Agents as support mechanisms for students in higher education. These agents are being investigated for their potential to address student needs across various domains, including information access, well-being, and resource navigation. Social Robots, possessing a physical presence, aim to leverage social cues and embodied interaction, while Disembodied Agents, such as virtual assistants or chatbots, offer support through digital interfaces. Investigations focus on assessing the efficacy of these agents in fulfilling specific support roles and determining how their implementation impacts student experiences and outcomes, particularly in relation to social energy expenditure and perceived support.
The Signposting Role, fulfilled by either social robots or disembodied agents, is designed to directly facilitate student Information Access by guiding them toward relevant resources and clarifying available accommodations. This involves proactively offering assistance with locating services such as tutoring, counseling, or disability support, and then explaining the criteria and processes for accessing those resources. Effective signposting reduces the cognitive load on students by minimizing the effort required to independently search for and interpret information regarding support options, thereby improving their ability to utilize available services.
The Sounding Board role leverages the agent’s capacity to provide a non-judgmental space for students to articulate academic or personal challenges. This function is predicated on the hypothesis that verbalizing difficulties, even to a non-human entity, can reduce the cognitive load associated with emotional regulation and problem-solving. Preliminary data suggests that this process may correlate with decreased self-reported Social Energy expenditure, as students may experience a lower demand for the reciprocal social processing typically required when discussing sensitive topics with peers or instructors. The potential benefit extends to overall student well-being by offering a readily available outlet for concerns without imposing the social costs associated with seeking support from human networks.
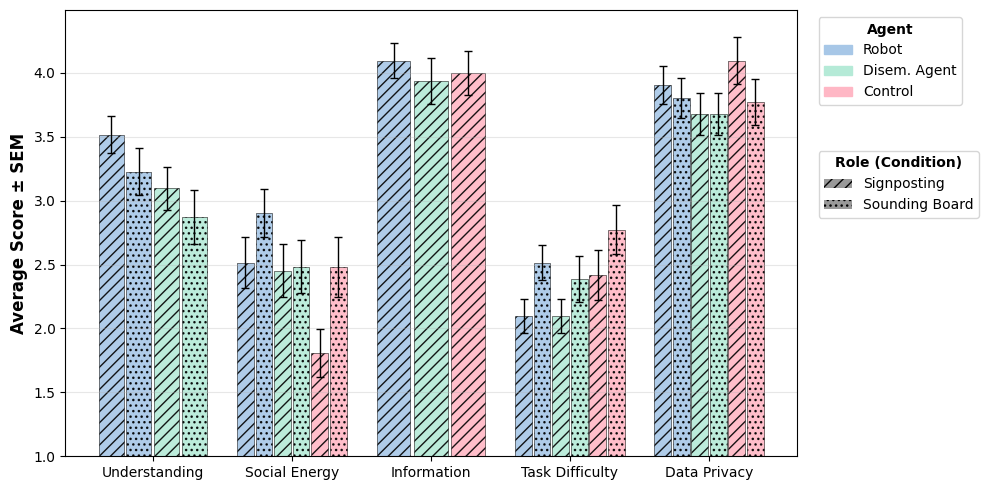
Statistical analysis of student interactions during the signposting task revealed a significant difference in social energy expenditure between the agent-assisted group and the control group (p<.05). Specifically, the control condition – where students navigated resources without agent intervention – required demonstrably less social energy to complete the task. This finding suggests that, while agents can provide assistance with resource navigation, the process of interacting with the agent itself introduces a social cost. Therefore, careful consideration of task demands and potential social overhead is crucial when deploying agent-led support, particularly for tasks where direct, independent access to information may be more efficient.
Evaluating Perceptions: Assessing Social Presence and User Acceptance of Support Agents
The effectiveness of an agent functioning as a support tool is directly correlated to the degree to which users perceive its social presence. Social presence, in this context, refers to the sensation of another being being physically present during interaction, even when mediated by technology. Higher perceptions of social presence generally lead to increased trust, rapport, and willingness to accept assistance from the agent. This is because cues typically associated with social interaction – such as responsiveness, empathy, and non-verbal communication – contribute to the feeling of a genuine connection. Consequently, agents exhibiting strong social presence are more likely to be perceived as helpful and less as intrusive, ultimately improving user experience and the overall efficacy of the support provided.
The Human-Robot Interaction (HRI) Evaluation Scale and the Naturalness and Anthropomorphism Rating Scale (NARS) are commonly employed instruments for quantifying user perceptions of social robots. The HRI Evaluation Scale assesses sociability through metrics relating to politeness, likeability, and emotional connection, while NARS focuses on gauging the extent to which users perceive intentionality and animacy in the robot’s behavior. These scales typically utilize Likert-type scales, allowing researchers to statistically analyze subjective responses and correlate them with observed interaction patterns. Data gathered from these scales provides insights into how users attribute human-like qualities to robots, influencing acceptance and the overall effectiveness of the human-robot interaction.
Quantitative analysis revealed a statistically significant difference in user perception between the robotic agent and a disembodied voice interface. Participants rated the robot as significantly more understanding than the disembodied agent, with a mean difference of −2.25 (p < .001). Furthermore, the robot was also perceived as exhibiting significantly higher animacy, as indicated by a mean difference of −1.436 (p < .001). These findings suggest that embodiment in a robotic form positively influences user perceptions of both empathetic understanding and perceived liveliness when interacting with an artificial agent.
User acceptance is a primary determinant of the successful integration of social robots and virtual agents into support roles; negative perceptions can lead to rejection of the technology, hindering its effectiveness. Crucially, users must perceive these agents as collaborative tools offering assistance, rather than unwelcome intrusions into their personal space or workflows. Factors influencing acceptance include perceived usefulness, ease of use, trustworthiness, and the degree to which the agent’s behavior aligns with user expectations. Failure to address these concerns can result in the technology being disregarded or actively avoided, even if it possesses demonstrable capabilities; therefore, ongoing evaluation of user perceptions is essential throughout the design and deployment process.
Addressing Ethical Considerations: Navigating Privacy and Future Directions in Agent-Led Support
The successful integration of agent-led support into educational settings hinges significantly on addressing pervasive privacy concerns. As these systems rely on collecting and analyzing student data to provide personalized assistance, anxieties surrounding data security and potential misuse represent a substantial barrier to adoption. Robust data protection measures are therefore not merely a technical requirement, but a fundamental ethical imperative; these include transparent data handling policies, secure data storage protocols, and adherence to relevant privacy regulations. Without demonstrable commitment to safeguarding student information, widespread trust-and consequently, the benefits of agent-led support-will remain elusive, hindering the potential for these technologies to truly enhance the learning experience.
Research indicates that the use of disembodied agents in educational settings can negatively impact perceptions of privacy, particularly during tasks requiring guidance or ‘signposting’. The study revealed participants expressed greater concerns about data security when interacting with an agent lacking a physical representation, suggesting a correlation between perceived anonymity and diminished trust in data handling practices. This apprehension stems from a lack of visual cues typically associated with human interaction, potentially leading individuals to question how their information is collected, stored, and utilized by the system. Addressing these concerns is crucial for fostering acceptance and ensuring the ethical implementation of agent-led support technologies, as diminished trust can significantly hinder user engagement and the overall effectiveness of these learning tools.
Investigating personalized agent configurations represents a crucial next step in optimizing agent-led support for students. Future studies should move beyond standardized agent designs and explore how tailoring agent characteristics – such as communication style, level of scaffolding, or even visual representation – can better align with individual student needs and learning preferences. This personalization could extend to adapting the agent’s approach based on a student’s demonstrated knowledge, emotional state, or preferred learning modality, potentially maximizing engagement and knowledge retention. Such research necessitates the development of robust methods for assessing individual learning profiles and dynamically adjusting agent behavior, ultimately paving the way for truly adaptive and effective educational tools.
The successful integration of agent-led support into educational settings hinges not simply on technological advancement, but on a fundamental commitment to ethical development and user-centered design. Prioritizing privacy, data security, and transparency builds trust and allays anxieties, fostering a more welcoming environment for diverse learners. Thoughtful consideration of individual needs – encompassing learning styles, accessibility requirements, and cultural backgrounds – allows for the creation of personalized experiences that maximize engagement and promote inclusivity. Ultimately, a human-centered approach ensures these technologies serve as empowering tools, capable of unlocking potential and creating a truly supportive learning ecosystem for all students, rather than exacerbating existing inequalities.
The study illuminates a crucial point regarding the integration of social robotics within educational frameworks. It’s not merely about introducing a technological solution, but understanding the complex interplay between the robot’s embodiment, the student’s role, and the nuances of interaction. This echoes the sentiment of Henri Poincaré, who observed, “It is through science that we arrive at truth, but it is imagination that makes us seek it.” The research demonstrates that while robots can enhance perceptions of understanding and social presence – sparking that initial ‘seeking’ – they haven’t yet surpassed established methods in practical application. Just as one cannot replace the heart without comprehending the circulatory system, effective implementation requires a holistic view of the learning ecosystem and a recognition that technology must augment, not simply replicate, existing support structures.
Looking Ahead
The pursuit of robotic assistance often begins with a desire to solve problems. This work subtly suggests a different path: understanding the inherent trade-offs. The observed enhancements in perceived understanding and social presence, while promising, are balanced by the continued efficacy of simpler, self-guided methods. If a design feels clever, it’s probably fragile, and the persistence of self-reliance as a preferred strategy hints at a fundamental truth: direct access to information, however unadorned, remains powerfully appealing. The challenge, then, isn’t simply to add social presence, but to justify the expenditure of social effort required to elicit it.
Future iterations must move beyond quantifying what robots can do and focus on when they should do it. A system’s structure dictates its behavior, and a constant stream of interaction, however well-intentioned, may ultimately prove more burdensome than beneficial. Consideration of privacy, of course, remains paramount, but equally important is a deeper exploration of the nuanced ways in which robotic presence alters the student’s relationship with information, with peers, and with their own agency.
The elegance of a solution often resides not in its complexity, but in its restraint. This research provides a valuable reminder that the most sophisticated technology is useless if it doesn’t address a genuine need, and that simplicity, in the long run, frequently prevails.
Original article: https://arxiv.org/pdf/2601.15293.pdf
Contact the author: https://www.linkedin.com/in/avetisyan/
See also:
- VCT Pacific 2026 talks finals venues, roadshows, and local talent
- Will Victoria Beckham get the last laugh after all? Posh Spice’s solo track shoots up the charts as social media campaign to get her to number one in ‘plot twist of the year’ gains momentum amid Brooklyn fallout
- Dec Donnelly admits he only lasted a week of dry January as his ‘feral’ children drove him to a glass of wine – as Ant McPartlin shares how his New Year’s resolution is inspired by young son Wilder
- The five movies competing for an Oscar that has never been won before
- Vanessa Williams hid her sexual abuse ordeal for decades because she knew her dad ‘could not have handled it’ and only revealed she’d been molested at 10 years old after he’d died
- Binance’s Bold Gambit: SENT Soars as Crypto Meets AI Farce
- Invincible Season 4’s 1st Look Reveals Villains With Thragg & 2 More
- SEGA Football Club Champions 2026 is now live, bringing management action to Android and iOS
- How to watch and stream the record-breaking Sinners at home right now
- Jason Statham, 58, admits he’s ‘gone too far’ with some of his daring action movie stunts and has suffered injuries after making ‘mistakes’
2026-01-23 07:33